首页
2024-11-06 11:41:56
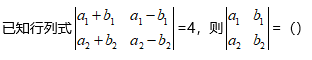
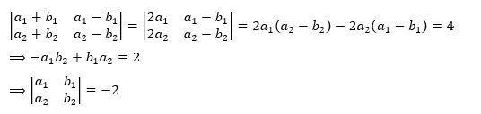
九十年代小说研究(10472)
A、2
B、4
C、-4
D、-2
【正确答案】:D
【题目解析】:
上一篇:
已知四阶行列式D中第三列元素依次为2,-1,1,0,它们的余子式依次为3,5,4,-7,则D=()
下一篇: