首页
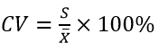
差异系数的公式是______ 。
2024-11-06 09:45:32
教育统计学(08327)
差异系数的公式是______ 。
【正确答案】:
上一篇:
统计表的结构一般包括表号、表名、标目、数字,以及______等几个组成要素。
下一篇:
差异系数是一种相对差异量数,用______来表示。