某省幼教培训中心,对30名幼儿园教师进行手工技能培训,培训前后的测验结果如下表,试问培训前后的两次测验结果差异是否显著?30名幼

某省幼教培训中心,对30名幼儿园教师进行手工技能培训,培训前后的测验结果如下表,试问培训前后的两次测验结果差异是否显著?
30名幼儿园教师培训前后的两次测验结果


【正确答案】:

检验步骤:
(1)建立假设:
H0:手工技能培训无显著效果
H1:手工技能培训有显著效果
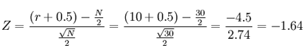
(2)求差数并记符号:计算X1与X2每对数据的差数,“+”的个数n += 9,“-”的个数n_=21,差数为0不予考虑。于是有: N = n+ + n - = 9 + 21 = 30。将n +和n-中较小的一个记为r,本例r=9。
  由于样本容量比较大,则可使用(公式1)计算:

  (3)统计决断:因为|Z|<1.96,所以本例应在0.05显著性水平上保留虚无假设,拒绝备择假设。其结论为:手工技能培训无显著效果。
  符号检验法的优点是不需要对所要检验的两个总体的分布形态做任何假定,并且计算简便。其最大的缺点是它只考虑符号,不考察差数的大小,因而失去样本所提供的一部分信息。对于同一样本数据,采用符号检验的精确度,只相当于卡方检验的60%,因此除了小样本,一般不使用符号检验。