首页
某项研究从参加研究生入学考试的考生中随机抽取60人,其是否为应届本科毕业生与最终录取情况如下表。试分析考生应届与否与录取情况的相
2024-11-06 09:44:22
教育统计学(08327)
某项研究从参加研究生入学考试的考生中随机抽取60人,其是否为应届本科毕业生与最终录取情况如下表。试分析考生应届与否与录取情况的相关情况。
【正确答案】:
上一篇:
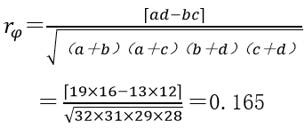
某次测验中10名考生的一道单项选择题得分和其卷面总分如下表所示,试求该单项选择题的区分度。
下一篇:
50名学生跳高与跳远成绩(达标与未达标)如下表所示,试求跳高与跳远成绩的相关情况。