某校开展学生小论文比赛,请6位教师对入选的6篇论文评定得奖等级,结果如下表所示,试计算6位教师评定结果的kandall和谐系数。
【正确答案】:
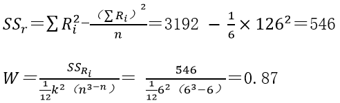
由于每个评分老师对6篇论文的评定都无相同的等级,故用公式(1),由表中数据得:
(由W=0.87表明6位老师的评定结果有较大的一致性)
某校开展学生小论文比赛,请6位教师对入选的6篇论文评定得奖等级,结果如下表所示,试计算6位教师评定结果的kandall和谐系数。
由于每个评分老师对6篇论文的评定都无相同的等级,故用公式(1),由表中数据得:
(由W=0.87表明6位老师的评定结果有较大的一致性)