首页
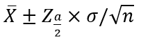
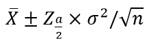
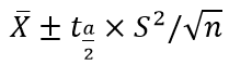
正态总体方差已知时,在小样本条件下,总体均值在 1-α置信水平下的置信区间可以写为( )
2024-11-06 09:43:13
教育统计学(08327)
正态总体方差已知时,在小样本条件下,总体均值在 1-α置信水平下的置信区间可以写为( )
A、
B、
C、
D、
【正确答案】:C
【题目解析】:主要考查对公式的记忆和理解
上一篇:
设X~N(0,1),Y~X2(n),且X与Y相互独立,则随机变量( )服从于自由度为n的t分布。
下一篇:
在其他条件不变的情况下,总体数据的方差越大,估计时所需的样本量( )