首页
标准正态分布的密度函数为( )。
2024-11-06 09:41:46
教育统计学(08327)
1
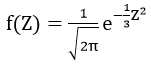
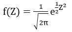
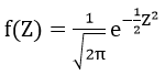
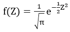
标准正态分布的密度函数为( )。
A、
B、
C、
D、
【正确答案】:A
上一篇:
P{0<Z<0.5}=0.19146,P{0<Z<2.8}=0.49744,那么P{0.5<Z&l
下一篇:
甲乙两战士打靶,甲的命中率是0.9,乙的命中率是0.85。设两个人同时射击同一目标,各打一枪,问目标被击中的概率是 (