首页
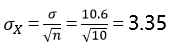
某中学二年级语文同以试卷测试分数历年来的标准差为10.6分,现从今年测验中随机抽取10份试卷,算得平均分为72分,平均数标准误为
2024-11-06 09:41:43
教育统计学(08327)
某中学二年级语文同以试卷测试分数历年来的标准差为10.6分,现从今年测验中随机抽取10份试卷,算得平均分为72分,平均数标准误为( )
A、3.22
B、3.28
C、3.31
D、3.35
【正确答案】:D
【题目解析】:
平均数标准误
上一篇:
教育技术
下一篇:
已知某学校化学竞赛近似正态分布,参赛300人,平均分65分,标准差19分。60分以下的人有( )