首页
若则常数a=( )
2024-11-06 06:00:57
经济应用数学(二)(04224)
若
则常数a=( )
A、ln2
B、2ln2
C、1
D、4
【正确答案】:B
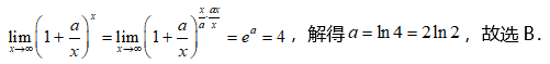
【题目解析】:
上一篇:
曲线的铅直渐近线为
下一篇:
已知函数