首页
极限的值为( )
2024-11-06 06:00:47
经济应用数学(二)(04224)
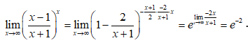
极限
的值为( )
A、-e
B、e
C、-e
-2
D、e
-2
【正确答案】:D
【题目解析】:
上一篇:
设曲线y=x2+x-2在点M处的切线斜率为3,则点M的坐标是( )
下一篇: