首页
关于函数的单调性,下列描述正确的是( )
2024-11-06 06:00:44
经济应用数学(二)(04224)
关于函数
的单调性,下列描述正确的是( )
A、y在(0,+∞)内单调增加
B、y在[4,+∞)内单调增加
C、y在[4,+∞)内单调减少
D、y在(0,+∞)内单调减少
【正确答案】:B
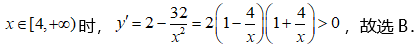
【题目解析】:
上一篇:
函数上的最小值为( )
下一篇:
设曲线y=x2+x-2在点M处的切线斜率为3,则点M的坐标是( )