首页
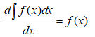
下列等式正确的是( )
2024-11-06 06:00:40
经济应用数学(二)(04224)
下列等式正确的是( )
A、
B、
C、
D、
【正确答案】:C
【题目解析】:
上一篇:
已知x+sinx是f(x)的一个原函数,则
下一篇:
设f(x-1)=e2x,则f’(x)=( )