首页
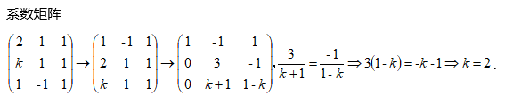
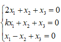
设线性方程组有非零解,则k的值为
2024-11-06 06:00:37
经济应用数学(二)(04224)
设线性方程组
有非零解,则k的值为
A、-2
B、-1
C、1
D、2
【正确答案】:D
【题目解析】:
上一篇:
设矩阵则A*中位于第2行第3列的元素是()
下一篇:
已知x+sinx是f(x)的一个原函数,则