首页
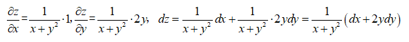
设函数z=ln(x+y2),则全微分dz=
2024-11-06 06:00:18
经济应用数学(二)(04224)
设函数z=ln(x+y
2
),则全微分dz=
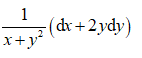
A、
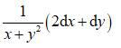
B、
C、
D、
【正确答案】:A
【题目解析】:
上一篇:
下列无穷限反常积分收敛的是
下一篇:
多项式