首页
当R=r时,负载获得最大功率的计算公式为( )。
A.
2024-01-13 10:05:06
电工基础部分
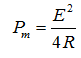
当R=r时,负载获得最大功率的计算公式为( )。
A.
B.
C.
D.
A.
B.
C.
D.
正确答案是B
上一篇:
一电阻两端加15V电压时,通过3A的电流,若在电阻两端加18V电压时,通过它的电电流为( )。
下一篇:
连续点亮一个40W的灯泡作照明,消耗2KW.h电能所用的时间为( )。