首页
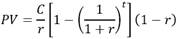
期初年金现值公式为
2023-11-02 22:21:39
个人理财
期初年金现值公式为
。
A.正确
B.错误
正确答案是B
上一篇:
客户信息可以分为定量信息和定性信息,下列说法中,正确的是( )。
下一篇:
金融衍生产品的主要功能是风险管理,所以其自身的风险是很低的。