• 首页

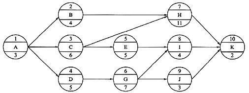
下列单代号网络计划中,关键线路有( )条。

  • 2023-11-02 22:05:27
  • 施工管理

下列单代号网络计划中,关键线路有( )条。

A.4

B.3

C.2

D.1

正确答案是D

上一篇:某施工企业承揽一住宅楼项目施工,在实施的过程中,对项目的进度目标进行动态跟踪和控制,收集施工进度实际值之后应做的工作是( )。
下一篇:旁站监理人员实施旁站监理时,发现施工企业有违反工程建设强制性标准行为的,应当( )。

最新文章

  • 小张与小李是一对夫妻,二人来自不同的外省县城,通过卓绝努力考大学进而留在省城工作。结婚后,双方类似的成长经历使他们达成共识:一定
  • 19世纪,向中国大肆走私鸦片的主要国家是()
  • 请结合具体事例,阐述中国传统工艺的创新方法。
  • 服务的流程是
  • 贯彻落实“安全第一,预防为主”方针的主要手段是
  • 项目可行性研究之后,要撰写项目建议书。
  • blood type
  • 中国共产党第一次明确提出反帝反封建民主革命纲领的会议是( )。
  • 素混凝土结构的混凝土强度等级不应低于
  • 昼から天気が_____なりました。

推荐文章

友情链接