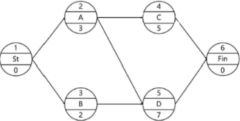
单代号网络计划中,工作C的已知时间参数(单位:天)标注如下图所示,则该工作的最迟开始时间,最早完成时间和总时差分别是( )天。
A.3、10、5
B.3、8、5
C.5、10、2
D.5、8、2
正确答案是D
单代号网络计划中,工作C的已知时间参数(单位:天)标注如下图所示,则该工作的最迟开始时间,最早完成时间和总时差分别是( )
单代号网络计划中,工作C的已知时间参数(单位:天)标注如下图所示,则该工作的最迟开始时间,最早完成时间和总时差分别是( )天。
A.3、10、5
B.3、8、5
C.5、10、2
D.5、8、2
正确答案是D