首页
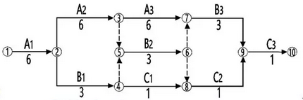
某双代号网络计划如下图所示(时间单位:天)。其计算工期是( )。
2023-11-02 22:05:00
施工管理
某双代号网络计划如下图所示(时间单位:天)。其计算工期是( )。
A.12
B.14
C.22
D.17
正确答案是C
上一篇:
根据《建设工程监理规范》,关于土方回填工程旁站监理的说法,正确的是( )。
下一篇:
根据《建设工程施工专业分包合同(示范文本)》,关于专业工程分包人的说法。正确的是( )。