首页
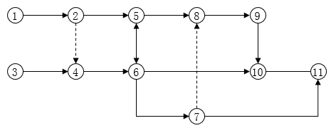
根据双代号网络绘图规则,下列网络图中的绘图错误有( )处。
2023-11-02 22:04:53
施工管理
根据双代号网络绘图规则,下列网络图中的绘图错误有( )处。
A.5
B.4
C.3
D.2
正确答案是B
上一篇:
根据《建筑工程工程量清单计价规范》(GB50500-2013),关于投标人采用定额组价方法编制综合单价的说法,正确的是( )。
下一篇:
关于施工形象进度、产值统计、实际成本三者关系的说法,正确的是( )。