首页
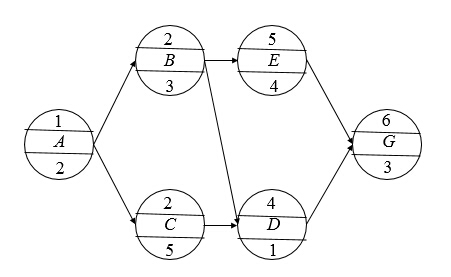
某工程的单位号网络计划如下图所示(时间单位:天),该计划的计算工期为( )天。
2023-11-02 22:04:49
施工管理
某工程的单位号网络计划如下图所示(时间单位:天),该计划的计算工期为( )天。
A.9
B.11
C.12
D.15
正确答案是C
上一篇:
施工方项目经理在承担工程项目施工管理过程中,以( )身份处理与所承担的工程项目有关的外部关系。
下一篇:
根据《标准施工招标文件》中的通用合同条款,在合同履行过程中,没有( )的变更指示,承包人不得擅自变更。