首页
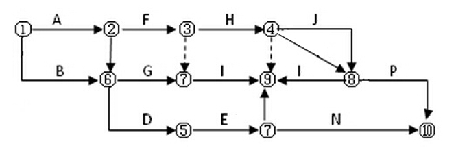
某双代号网络计划如下图所示,图中存在的绘图错误有( )。
2023-11-02 22:04:48
施工管理
某双代号网络计划如下图所示,图中存在的绘图错误有( )。
A.多个终点节点
B.节点编号重复
C.两项工作有相同的节点编号
D.循环回路
E.多个起点节点
正确答案是ABC
上一篇:
施工质量事故处理的程序中,事故处理环节的主要工作有( )。
下一篇:
关于施工安全管理基本要求的说法,正确的有( )。