首页
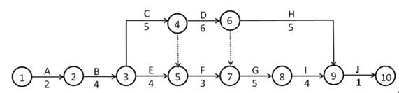
在答题卡指定区域绘制完整的进度计划网络图。
2023-11-02 22:04:19
通信与广电
在答题卡指定区域绘制完整的进度计划网络图。
本工程完整的进度网络图如下:
上一篇:
按照下面格式填写进度计划中D、E、F、H的工作时间参数。
下一篇:
竣工图纸应满足哪些要求?