首页
计算图4-2中的h3。(单位:m,小数点后保留4位)
2023-11-02 22:04:00
公路工程
计算图4-2中的h3。(单位:m,小数点后保留4位)
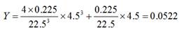
B=3.75×6=22.5m
h=22.75×2%÷2=0.225m
h3=h-Y=0.225-0.0522=0.1728m
上一篇:
<p>事件一中,拌合站简介牌还应标识的内容有哪些?复制下列表格到答题卡上,并按表中示例,用直线将“标识标牌名称”与最佳的“设置位
下一篇:
写出图4-1中上面层结构的中文名称;图4-1中下面层沥青混凝土的级配有何特点?该层压实后,其剩余空隙率要求满足什么范围?