首页
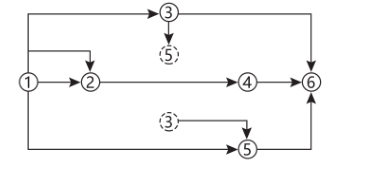
根据《工程网络计划技术规程》JQJ/T121-2015,网络图存在的绘图错误有( )。
2023-11-02 22:00:39
工程项目管理
根据《工程网络计划技术规程》JQJ/T121-2015,网络图存在的绘图错误有( )。
A.编号相同的工作
B.多个起点节点
C.相同的节点编号
D.无箭尾节点的箭线
正确答案是A
上一篇:
关于FIDIC施工合同条件中采用DAB(争端裁决委员会)方式解决争议的说法,正确的是( )。
下一篇:
某建设工程项目在施工中发生下列人工费,完成业主要求的合同外工作,花费3万元,由于业主原因导致施工工效降低,使人工费增加3万元,施