首页
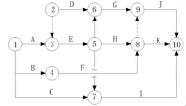
下列双代号网络图中,存在的绘图错误有( )。
2023-11-02 22:00:34
工程项目管理
下列双代号网络图中,存在的绘图错误有( )。
A.箭线交叉的方式错误
B.存在多个起点节点
C.存在相同节点编号的工作
D.存在多余的虚工作
E.存在没有箭尾节点的箭线
正确答案是ABD
上一篇:
下列施工机械使用费控制措施中,属于控制台班数量的有( )。
下一篇:
建筑施工企业进行质量管理体系认证的程序包括( )。