首页
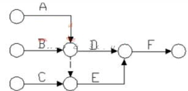
某工作间逻辑关系如下图,则正确的是( )。
2023-11-02 22:00:29
工程项目管理
某工作间逻辑关系如下图,则正确的是( )。
A.A、B均完成后同时进行C、D
B.A、B均完成后进行D
C.A、B、C均完成后同时进行D、E
D.B、C完成后进行E
正确答案是B
上一篇:
根据《中华人民共和国建筑法》和《建设工程质量管理条例》,设计单位的质量责任和义务是( )。
下一篇:
<p>某工程双代号网络计划如下图,其计算工期是( )天。<img title="" alt="" src="https://le