首页
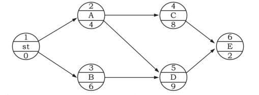
某单代号网络计划如下图,工作A、D之间的时间间隔是( )天。
2023-11-02 22:00:29
工程项目管理
某单代号网络计划如下图,工作A、D之间的时间间隔是( )天。
B.1
C.2
D.3
正确答案是C
上一篇:
关于工程合同风险分配的说法,正确的是( )。
下一篇:
根据《建设工程施工劳务分包合同(示范文本)》GF-2003-0214,合同中对固定劳动报酬可以约定调整的情况是( )。