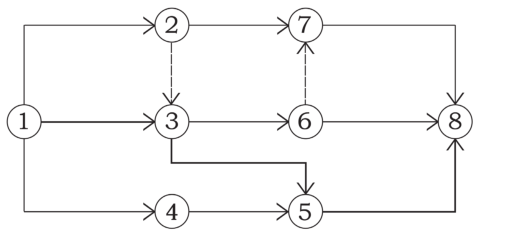
某双代号网络计划如下图(图中粗实线为关键工作),若计划工期等于计算工期,则自由时差一定等于总时差且不为零的工作有( )。
A.①-②
B.③-⑤
C.②-⑦
D.④-⑤
E.⑥-⑧
正确答案是DE
某双代号网络计划如下图(图中粗实线为关键工作),若计划工期等于计算工期,则自由时差一定等于总时差且不为零的工作有( )。<
某双代号网络计划如下图(图中粗实线为关键工作),若计划工期等于计算工期,则自由时差一定等于总时差且不为零的工作有( )。
A.①-②
B.③-⑤
C.②-⑦
D.④-⑤
E.⑥-⑧
正确答案是DE