首页
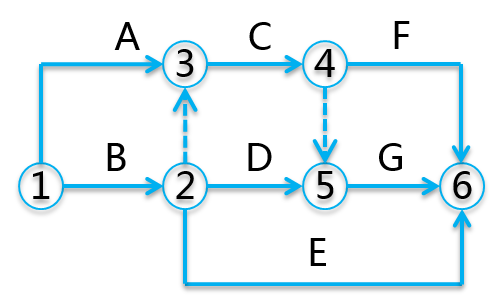
某双代号网络图如下图所示,正确的是( )。
2023-11-02 22:00:24
工程项目管理
某双代号网络图如下图所示,正确的是( )。
A.工作C、D应同时完成
B.工作B的紧后工作只有工作C、D
C.工作C、D完成后即可进行工作G
D.工作D完成后即可进行工作F
正确答案是C
上一篇:
关于施工成本控制的说法,正确的是( )。
下一篇:
关于施工总承包模式与施工总承包管理模式相同之处的说法,正确的是( )。