首页
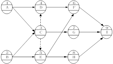
某单代号网络图如下图所示,存在的错误有( )。
2023-11-02 22:00:23
工程项目管理
某单代号网络图如下图所示,存在的错误有( )。
A.多个起点节点
B.有多余虚箭线
C.出现交叉箭线
D.没有终点节点
E.出现循环回路
正确答案是ABC
上一篇:
施工单位的项目管理任务分工表可用于确定( )的任务分工。
下一篇:
根据《建设工程施工合同(示范文本)》(GF-2013-0201),合同文本由( )。